
Opis: Evo da ostane "priBeleženo" za istoriju...
"uDrugi krug" izbora za "precenika" Srbije, "uObštinu" Novi Bečej je "poBedijo" Boris Tadić, kandidat "Demokratcke" stranke, što možete "viditi" na "gornju tabelu"...
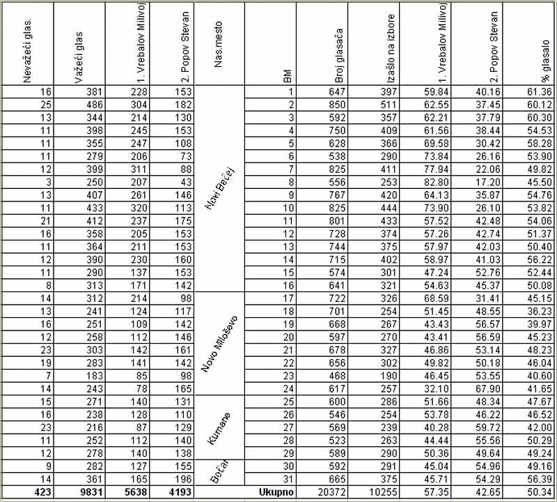
Na "doljnju tabelu" su rezultati izbora za "pokrajinu", po većinskom sistemu, "di" je "poBedijo" Miša Vrebalov iz "Libelarno demokratcke" partije
| Copyright © Dragan Belic - | ![]() |
- All right reserved |
| Vaš mâli prilog, "mlogo" znači, a u cilju "dâljnjog, svakodnevnog izlaženja" ovog sajta !!! | ![]() |
| Link sponzora |
Link sponzora |
... |
![]() |
![]() |
![]() |
|
Arhiva Slika dana: - po mesecima !!! - po godinama !!! |
![]() |
![]() |
![]() |
|
DownLoad-ujte, odštampajte i "nalepte digođ naZid aktualni novoMiloševački" kalendar za tekući mesec... |
|